DIANAによる疲労破壊解析
(Fatigue Failure Analysis) その1
DIANA Tips
2025.11.27
1. はじめに
鋼構造物などの設計において,各部材の疲労寿命を正確に予測することは,構造設計上非常に重要な課題である.実際,疲労破壊は降伏応力以下の荷重条件下においても生じるため,従来の静的応力評価(静的構造解析)だけでは評価が困難である.図-1に示す韓国ソウル聖水大橋の崩壊事故は,このような疲労破壊の一例である.
本稿では,疲労解析を初めて行う方を対象として,疲労解析を行うために必要なデータと処理手順について簡単に説明する.さらに,オランダDIANA FEA社により開発された有限要素法による汎用の構造解析システムDIANA用いた疲労破壊解析(Fatigue Failure Analysis)の方法を紹介する.

図-1 韓国聖水大橋の疲労崩壊 引用:聖水大橋Wiki
2.疲労破壊曲線(S-N曲線/ Wöhler曲線)
S-N曲線は,材料に生じる応力振幅と破壊に至るサイクル数の関数として,19世紀半ばにWöhlerによって初めて提案された1,2).通常,鋼材のS-N曲線には図-2に示すような疲労限度が現れる.疲労限度以下の応力振幅(σw4)の場合,理論上は破壊に至るまでの寿命N4が無限大となり,累積損傷が発生しないと評価される.このような法則はマイナー則と呼ばれる.しかし,疲労限度以下の応力振幅下でも微小な損傷が蓄積し,ダメージを受けていることが明らかとなっており,実用上は図-3に示すような修正マイナー則の採用が望ましいと考えられる.実際,本稿で用いた解析ソフトDIANAにおいても,修正マイナー則に基づいたS-N曲線が採用されている3).
3.手計算で疲労評価の手順
本稿では,「構造解析+手計算の疲労評価法」と「DIANAによる疲労破壊解析(Fatigue Failure Analysis)による疲労評価法」の二つの手法について紹介する.なお,DIANAを用いた構造解析の有効性については既往の研究により十分検証済みであるため,本稿ではその詳細は省略する.
手計算による疲労評価では,図-4に示すように単一荷重の場合,構造解析により各節点の応力振幅を算出し,S-N曲線から直接疲労寿命を算出できる.一方,図-5に示すような複数荷重を有する場合,応力振幅が変動するため,荷重ごとに損傷度を算出・累積する必要があり,手計算の負担が大きい.これに対し,DIANAに実装された疲労破壊解析手法は,有限要素法および弾塑性・破壊力学を基盤として,各節点の疲労寿命を自動かつ高精度に評価可能である.
4.DIANAによる疲労破壊解析
DIANA による疲労破壊解析(Fatigue Failure Analysis)を実施するためには,各部材ごとにS-N曲線の定義が不可欠である.本稿では,単純な鋼板を対象として疲労破壊解析を行い,その解析結果を手計算によって求めた疲労寿命と比較することで,DIANAによる疲労破壊解析の有効性を検証する.なお,材料のS-N曲線パラメータおよびモデル図をそれぞれ表-1および図-6に示す.
構造モデルが単純で,かつ荷重セットも1ケースのみであるため,図-7に示すように,DIANAによる静的構造解析を通して各要素/節点の最大・最小主応力が容易に確認できる.ここでは,最大主応力および最小主応力を基準として,手計算により理論寿命値を算出する.
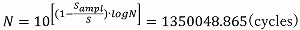
図-7に示すように,対象節点の最大最小主応力はそれぞれ116.778N/mm2と-0.075157N/mm2,DIANAによる静的解析で応力振幅
を取得する.これに基づき,定義されたS-N曲線により,該当節点位置における疲労寿命(現在の荷重条件下で何回の載荷により破壊に至るか)を,以下の式を用いて算出する.
続いてDIANAで疲労破壊解析(Fatigue Failure Analysis)を実行すると,図-8に示す疲労寿命コンターから,各位置における疲労寿命分布が容易に把握できる.さらに,着目した節点における解析結果がNp=1350469.265(cycles)となり,これを手計算によって求めた結果N=1350048.865(cycles)に比較すると,誤差率は僅か0.031%であって,疲労破壊解析を実施した結果,手計算により算出された疲労寿命の理論値とほぼ一致する結果が得られた.
5. まとめ
本稿では,「DIANAによる構造解析+疲労寿命手計算」と「DIANAによる疲労破壊解析」の二つ方法を用いて,簡単な鋼板モデルの疲労寿命を評価した.解析結果と手計算で得られた理論寿命の誤差率は0.1%以下で,DIANAによる疲労破壊解析の有効性が確認された.なお,本稿では手計算結果との比較を目的として,極めて単純な構造モデルを採用した.次回のレポートでは,実務レベルモデルを想定し,実際の鋼桁橋を対象とした疲労破壊解析結果について報告する.






